Bionano. Revenue is growing, cost cutting has stopped, the cost level has been reduced to quite moderate, GM% weakened (sales mix, more devices?) cash is sufficient until Q3/2026. Revenue would roughly need to double to achieve profitability, I would think. At the current pace, it’s painfully slow. Bionano’s revenue figures are actually roughly on the same level as Optomed’s
there’s a valuation comparison. Both have their own moat. However, the information provided by OGM cannot be fully replaced by any other analytics. Still in my mind are the CEO’s words, roughly like this “oncologists at MD Anderson are reluctant to treat patients without OGM results”… It remains a hold.
Thanks for the update (Bionano). After the collapse, once it had risen slightly above two euros, I sold off the entire position, but I still intend to follow the company and possibly return to owning shares at some point. I fear the next share issue and at what price it will materialize, as in the last issue, the company had to lower the offering price so cheaply for it to sell, and no strategic owner seemed to emerge despite the expensively developed technology being “for sale” so cheaply.
Our western neighbor’s “Faron counterpart”, BioInvent, recently published new data with the BI-1910 molecule. I’ll compare it a bit to Faron, as it’s certainly the best-known biotech on the forum. The company’s main assets are shown below:
Previously, BI has reported the following with BI-1808:
i.e., ORR 2/26 = 7.6% in the monotherapy arm.
What makes BioInvent’s approach quite exceptional is that they have a TNFR2 antagonist (BI-1808) and also an agonist (BI-1910) in their pipeline. And a biologically meaningful story can be concocted for the function of both…! Believe it if you want.
So, in the case of BI-1808, it would go like this: “cold tumors” would have abundant TNFR2-expressing “T-reg” regulatory T-cells, which prevent cytotoxic CD8+ “killer cells” from attacking their target cancer cell. When BI-1808 binds to the TNFR2 receptor of CD4 regulatory cells, this “releases” immune defense mediator cells (not specified which ones) to attack T-reg cells, thereby reducing their number and thus diminishing their inhibitory effect on CD8+ killer cells. OK.
But BioInvent knows how to turn the story around: BI-1910 is also a similar immuno-oncological antibody that binds to the TNFR2 receptor. TNFR2 is present on the surface of T-cells and NK cells, but also in dendritic cells and macrophages. By activating TNFR2, the cytotoxic effects of these cells are thought to increase, which hopefully would lead to the destruction of cancer cells. This sounds quite familiar to those who have read the Faron thread. The well-known inflammatory mediator TNF-alpha is also a ligand for the TNFR2 receptor, i.e., a molecule that binds to it. High concentrations of TNF-alpha signal immune system activity. On the other hand, if there is too much or for too long, things can turn upside down. By administering BI-1910, the immune system could be activated against cancer in those where it is not naturally so active… sounds quite familiar to Faron thread readers.
So the company claims that it can be effective to either inhibit or activate the same target in the body. I had to read it many times, and I’m still not entirely sure I understood correctly. Anyway, both biological explanations can be plausible for at least 99% of generalist biotech investors like me, in either direction. So, we need DATA, what is actually happening?
Let’s look at the monotherapy results: the drug was given to patients with advanced or metastatic solid tumors who had completed standard treatments. So, unfortunately, terminally ill patients. One important exclusion criterion was a previous GR 3 or more severe adverse event to an immuno-oncological drug. This, I believe, selects patients who tolerate IO treatment better than usual. Otherwise, the setup is quite similar to Faron’s MATINS.
The dose was sought with a wide range. Dose-limiting toxicities do not appear to occur.
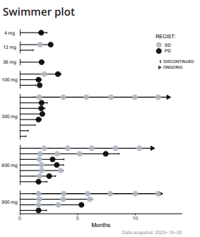
Responses are best viewed from the swimmer plot. The best “response” was SD, i.e., stable disease. It seems to be concentrated at high doses. ORR was 0% (MATINS <1%). So, responses were weaker than the 7% ORR achieved with BI-1808.
CD4+ and CD8+ cell concentrations studied from blood samples as a function of time, separated by treatment response (stable/progressive). Cells were typed according to activation markers 4-1BB, Ki67, and PD-1. No direct evidence of cytotoxicity profiling was presented. It appears that better responses occur in those where CD4 and CD8-positive cell concentrations increased.
These are always liked to be presented: One patient’s result. This shows how CD8+ T-cells have infiltrated the tumor at 10 weeks, and at the same time, CD4+ T-regulatory cells have disappeared. This is direct evidence that responses occur where desired, in the cancer tissue (cf. blood sample above). Of course: one patient’s result. Still, no direct evidence of cytotoxicity has been presented here either.
BioInvent has provided a good amount of information for evaluating efficacy, rough profiling of CD4/CD8 cells, temporal data from several time points, swimmer plots, and adverse event charts. So, there is plenty of information to support a decision. However, I assign a value of 0 euros to the BI-1910 results at this stage, as sufficient efficacy is not yet visible. BioInvent itself made the same conclusion:
![]()
(I only noticed this after writing this whole explanation). At most, this would be for a combination drug. BI-1808, however, is more promising in terms of efficacy. New information on it will soon be available for cutaneous T-cell lymphoma and r/r non-Hodgkin lymphoma at the ASH meeting on December 6-9. In T-cell lymphoma, BI-1808 is moving into the dose optimization phase, similar to Faron with Bex. The market values are also very similar.
Zymeworks and Jazz published new Phase 3 data for the same indication; it looks like it will reach the market before HLX22, provided approval comes. Exact percentages have not been given; this should be followed closely. Zanidatamab has a similar mechanism of action to HLX22.
Virtus at least has a clinical trials ETF, ticker BBC. This includes companies that don’t yet have revenue. Virtus LifeSci Biotech Clinical Trials ETF | Virtus Investment Partners. The return since the fund’s inception in 2014 appears to be + 19.23%.
Capricor announces positive Ph3 data, but the primary endpoint has been changed! Stock halted. This was already doomed to fail. Is this a working drug or data spinning?? A wild ride ahead. Only for biotech nerds. DYODD.

With these small Nordic companies, the same phenomenon often repeats: the stock price takes an uncontrolled lead before data release. Herantis did exactly the same recently. Curasight is now about to release only preliminary phase 1 data on the treatment of the brain tumor glioblastoma. I can’t find the exact protocol for the study, so it’s impossible to estimate what kind of information is even coming – I sold the rest of my shares into this rally. During this 5-fold increase in the stock price, no new essential data has been published
Of course, the valuation was at rock bottom..
I’ve been watching BionTech from time to time. It’s pivoting from a vaccine manufacturer to a cancer drug company. Recently, BNTX published strong data from the phase 3 dose confirmation part in the treatment of non-small cell lung cancer (2nd line). The total market for non-small cell lung cancer is approximately $24 billion. The market didn’t react to this information at all.
Is the US administration’s anti-vaccine sentiment still weighing on this company?
BNTX’s TTM revenue looks like $3.7 billion and a loss of $671 million. R&D expenses are $2.6 billion. Revenue still mainly consists of the Comirnaty vaccine. It has both EMA and FDA approval, and these cannot be withdrawn even by RFK Jr. But the climate is hostile to vaccines right now, which might affect vaccine buyers.
Cash position + short-term instruments is $17 billion. MCAP is $23 billion.
BionTech’s most important pipeline asset is a PDL1 x VEGF-A combination antibody, which combines two well-known and effective mechanisms of action into the same molecule. It has 3 phase 3 studies and over 10 phase 1-2 studies underway. This program also generates significant milestones from partner BMS.
BionTech’s pipeline has much more that I haven’t looked at. Is it still too early to bet on a turnaround, or are there any blockbusters in the pipeline at all? The cash position will last quite a long time…
If one believes that a new COVID variant pandemic will occur, BNTX is certainly one of the most capable companies, along with Pfizer, to react quickly and produce “variant-adjusted Comirnaty.” Such a black swan bull scenario is always good to have ![]()

I came across this news from a couple of days ago on social media. Essentially, the FDA is tightening the regulation of CAR-T cell trials. The previous FDA leadership had a much looser approach to these new cell therapies, but now the requirements seem to be tightening.
the agency will generally require randomized controlled trials (RCTs) to support the approval of chimeric antigenreceptor (CAR) T-cell therapies to treat cancer
overall survival is considered most directly beneficial to patients when assessing CAR T-cell therapies, the agency will consider other end points such as global quality of life, delays in toxic subsequent therapy, durable remission, and cure
To my understanding, the problem with current CAR-T cell therapies is that although the response is often very good initially, it usually doesn’t last very long.
Regarding Swedish Hamlet, contract news is awaited; in fact, more than three treatments would be ready for Phase 3. I suspect that a public offering is ahead because the main owner (33%) cannot afford to participate in one. Therefore, the opponents are trying to drive the situation there by prolonging negotiations, but the main owner will not yield, preferring to let their own share dilute rather than let the opposing party dictate terms. So, if someone is getting into this, I would also reserve cash for a potential offering.







