Itse en saanut haettua tuota Tokmannin koristetta, töiden takia ajattelin että varmasti menneet jo ennekuin ehdin paikalle joten jäi menemättä. Nuukana miehenä kävin kuusenkin edellisvuosien tapaan hakemassa omasta metsästä tyttären kanssa…liekö tässä semmoinen jouluperinne niin kauan kun tyttöä kiinnostaa raihnaisen isäukkonsa kanssa metsään raahautua ![]()
Nuorempana sitä kyllä yleensä muutenkin tuppaa herkemmin sanomaan uusiin tilaisuuksiin ja hommiin kyllä, koska vaihtoehtoja on vähemmän ja kaikki kokemukset uusia. Näin sitä saakin paljon mielenkiintoisia kokemuksia ja tilaisuuksia ja koska oma olotila vaikuttaa voittamattomalta ja palautuminen nopeampaa kuin se tulee koskaan elämän aikana olemaan, niin 110% painaminen ei välttämättä edes tunnu ongelmalliselta. Vielä kun on hieman naiivi usko omiin mahdollisuuksiinsa muuttaa maailmaa ja ihmisiä ympärillään, niin sitä päätyy helposti kaikenlaisiin kummallisiin tilanteisiin, mitä myöhemmin hymyillen tulee muisteltua tuopin äärellä tai lapsilleen jutellen.
Vuosia tullessa lisää ja työtahdin ylittäessä oman palautumiskyvyn jossain kohti saattaa huomata, että päällä on jatkuva kiireen tunne eikä mikään työmäärä tunnu riittävän. Töitä mietitään vapaa-ajallakin ja yksinkertaistenkin tehtävien tekeminen hidastuu ja ihmetys on suuri, kun joku kollega tekee saman tehtävän ripeästi ja ilman hampaiden kiristystä. Aivan kuten kala ei ymmärrä uivansa vedessä, ei uupunut tajua olevansa levon tarpeessa. Mukaan sekoittuu häpeä. Miksi minä tarvitsisin apua, kun kukaan muu ei tarvitse? Olenko vain huono tai tyhmä? Mitä jos ne kohta huomaavat etten osaa tai pärjää?
Ongelmien kanssa tuntuu olevan yksin, vaikka tämä sama tilanne on toistunut muille ihmisille lukemattomia kertoja ja tulee vielä toistumaan tulevaisuudessakin, joten hyväksi todettuja ratkaisujakin kyllä löytyy. Joko sitä muuttaa itse omia työskentelytapojaan, vaihtaa työpaikkaa tai sitten hakee apua toiselta ihmiseltä. Useimmat tuntuvat vaihtavan töitä, mutta koska juurisyy on työskentelytavoista, niin he ajautuvat jatkossakin samaan tilanteeseen elleivät opi sanomaan ei. Työelämässä kun tulee kaikenlaisia erikoisia olosuhteita vastaan ja yleensä suurimmat haasteet eivät tule niistä duuneista itsenssänsä vaan siitä, mitä ne muut ihmiset siellä työpaikalla touhuavat:
Aivan ihanaa! ![]()
Hakisin itsekin omasta metsästä jos sellainen olisi lähettyvillä. Siinä tunnearvo kasvattaa harvaoksaisen kuusen laatua ja perinteet on kivoja.
Löytyi yksi asia mistä olen Trumpetin kanssa samaa mieltä.
President Donald Trump wants the NFL to change its name so that soccer is the only sport named football. “This is football, there is no question about it. We have to come up with another name for the NFL stuff.”
Se on juuri näin ja laajemmin ottaen, mikäli työ ei herätä intohimoa tai sunnuntaisin tulee se ikävä tunne, että huomenna taas töihin mentävä, on aika etsiä jotain uutta. Pelkän rahan takia ei kannata töitä tehdä vaan kannattaa se oma aika ja panos käyttää johonkin sellaiseen, mikä aidosti tuntuu hyvälle.
Etätyökeskusteluun liittyen alan kallistumaan siihen ajatukseen, että etätyöt ovat huono asia pitkällä aikavälillä. Huomaa omasta työyhteisöstä, että niistä henkilöistä, jotka viettävät pääosin aikansa etänä, tulee hyvin etäisiä. Kun taas ne henkilöt joiden kanssa käy lähes päivittäin syömässä ja vaihtaa muutaman sanan kasvotusten konttorilla, ovat paljon läheisempiä ja heihin syntyy luottamuksellinen suhde. Kyllä asiantuntijatyö vaati sitä yhteisöllisyyttä ja luottamuksellisuutta, kun harva tehtävä aidosti on yksinpuurtamista.
Mielestäni tästä on turha ottaa huonoa omatuntoa ja epäillä työtään. Keskimäärin kotona on kivempaa kuin töissä. Leikkimielisesti voisi sanoa, että jos asia olisi toisinpäin, herää kysymys, onko kotiasiat kunnossa.
Töissä kuitenkin vietetään aikaa arkipäivistä 1/3, joten eikö se olisi ihan hyvä, että siitä käyttämästään ajasta voisi olla innostunut ja tuntisi ylpeyttä aikaansaannoksista? Väitän, että se on yksilön, työnantajan ja yhteiskunnan kannalta parhainta.
Hei arvon parviäly!
Mietin tässä Ost-tilin hetkellistä sulkemista koska se on alusta asti ollut vinoon kasvanut rahapuu ja sisässä on täälläkin hetkellä noin 10 000 realisoituneet ja 2000 euron realisoitumattomat tappiot vuosien osinkojen ja myyntivoittojen jälkeen.
Arvo-osuustilin tuotto on noin 30 000euroa plussalla ja osinkoja on tänä vuonna saatu sielläkin noin 2500 euroa joista verot meni jo maksuun mutta saisi palautuksiin myymällä ost tyhjäksi ja sulkemalla tilin.
En haluaisi maksaa (sikamaista) 51 euron maksua osuuspankille ja ottaa sitä riskiä että juuri viiemviikkoina tiukan korjausliikkeen saaneet vuosien turkaiset ost-osakkeeni jatkavat jyrkkää nousuaan tämän ost myynti-uudelleen perustamis-keikautuksen aikana, mutta toisaalta ei tässä taida paljon olla muita vaihtoehtojakaan verojen optimoimiseksi jos aotn osingot nyt ja seuraavina vuosina haluaisi optimoida tappioista, sillä aotlla ei tosiaan ole realisoitavia tappioita lainkaan.
Jos joku keksii tähän nyt jonkun hyvin ratkaisun tai osaa kertoa jotain kompastuskiviä mitä en osaa huomioida niin otetaan ilolla vastaan ![]()
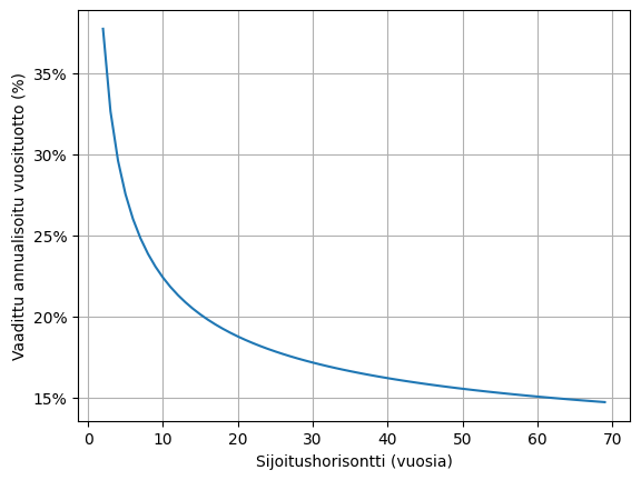
Henriltä hyvä tviitti siitä, että kuinka pitkä sijoitushorisontti tarvitaan, jotta sijoittajan osaaminen voidaan todistaa ainakin tilastollisesti. ![]()
https://x.com/HenriHuovinen2/status/1997701020760096949
Ainakin Nordnetin sivuilla oli tälläinen teksti:
Eli ei välttämättä enää kerkiä tämän vuoden puolella tuon sulkeminen..? ![]()
Löytyy tarvittaessa googlettamalla “Vuodenvaihteen tärkeät päivämäärät sijoittajalle”
Tämä on varmasti ideaalitilanne, mutta ei kaikille mahdollinen. Esimerkiksi perhettä voi olla vaikea saada ympäripuhuttua muuttamaan toiselle puolelle Suomea paremmman työtarjouksen perään. Tai uudelle alalle kouluttautuminen voi olla hankalaa asuntolainaa lyhentäessä.
Jakautuminen myöhästyi kuukaudella USA:n hallinnon sulkeutumisen vuoksi, mutta kaupan pitäisi alkaa huomenna. Katsoin omaa IBRK-tiliäni, ja sinnehän oli Magnumin osakkeet ilmestyneet.
Tietääkö joku, että katsotaanko nämä Magnum-osakkeet ylimääräiseksi osingonjaoksi vai yhtiön jakaantumiseksi ilman välitöntä verovaikutusta Suomen verottajan mielestä?
Koska ollaan kahvihuoneella, uskallan vastata. ![]()
Uskoakseni verottaja pohtii puoli vuotta kummasta on kyse ja sen jälkeen päätyy kyseessä olevan jakautumisen. Seuraava puoli vuotta meneekin sitten pähkäilemiseen, kuinka osakkeen alkuperäinen hankintahinta jakautuu yhtiöiden kesken.
Ole Hyvä! ![]()
Hedge-rahastot ovat kasanneet keskimäärin noin 70 prosenttia salkuistaan kymmenen suurimman omistuksen varaan ja ostavat intsinä samoja AI-osakkeita ennätysmäisen tiheästi.
Tämä on paisuttanut tviitin mukaan kurssinousua, mutta kasvattaa romahdusriskiä, jos markkina kääntyy. Alla olevassa tviitissä lisää asiasta. ![]()
https://x.com/KobeissiLetter/status/1997755743009906735
Itse toimin yli 10v it-alalla lähiesimiehenä ja tuotekehitysprojektien vetäjänä, välillä kuuli rivien välistä asiantuntijoiden sanomana että se on turha porras joka vain haittaa työn tekoa. Johtokin tuli lopulta siihen tulokseen että se on turha kulueränä ja ruksattiin pois organisaatiokaaviosta.
Tuo väliporrashan oli nimenomaan välissä suodattamassa ylemmän johdon epärealistiset tavoitteet pois ja suojelemassa asiantuntijoiden aikaa keskittyä olennaiseen, sekä tukea ongelmatapauksissa, ylikuormitustapauksissa ja päättä priorisoinnissa. Väliporras istui ne palaverit, johdon, markkinoinnin ja asiakkaiden kanssa, työntekijät sai keskittyä olennaiseen. Myös henkilöstöjohtaminen ihan psykologinen puoli, työn organisointi perheasioiden sovittaminen, osaaminen, jaksaminen yms. käytiin läpi lähiesimiehen kassa.
Nyt kun väliporrasta ei ole, asiantuntijat johtavat ja organisoivat itse itseään, ja raportoivat itse suoraan ylemmälle johdolle, huolehtivat yksin omasta jaksamisestaan tai jaksamattomuudestaan työn pirstoutuessa, tappelevat tiimissä keskenään kenen vika kun projekti myöhässä. Saavat sen kaiken pas*an omaan niskaansa koska työn tulosvastuu siirrettiin työntekijätasolle, istuvat itse niissä kaikissa palavereissa jotka ei tuo lisäarvoa hänen tekemiseensä. Ja uupuvat ja tehokkuus romahtanut.
Mutta tekisi mieli sanoa sille turhautuneelle asiantuntijalle, että sitä sai mitä tilasi.
Kuvaat minulle juuri sitä sisäisen IT-toiminnon nykytilaa, jossa on olemassa vain kaksi ääripäätä: Ylin johto ja suorittavat asiantuntijat. Johtajat eivät ymmärrä, miten asioita tehdään, ja asiantuntijat eivät ole kiinnostuneita mitä tai miksi asioita tehdään. Näkökulmaero on 180 astetta ja tulkki puuttuu. Syntyy kerrottu tilanne, missä suorittavat henkilöt eivät pysty hallitsemaan työtään, koska auktoriteettia omaava ja työtä järjestelevä osapuoli puuttuu.
Tätäkö se sitten raksoillakin on, että työmaalle vaan tulee tavaraa, siellä vaan puuhaa erilaista osapuolta, asioita vaan tapahtuu ja lopulta asiakas riitelee kaikista alkeellisistakin rakennusvirheistä, mutta kukaan ei ole vastuussa. Saisi joku raksahommissa oleva kertoa heidän näkökulmansa nykypäivän johtamisongelmiin ![]()
Jos vaan rahkeet taloudellisesti mitenkään antaa myöten opintovapaa voisi olla ratkaisu ongelmaan. Työnantaja ei voi siitä kieltäytyä. Valitettavasti Orpo leikkasi aikuiskoulutustuen, mutta siitä huolimatta pidempi breikki voisi tehdä hyvää ja saisit keskittyä opintoihisi.
Tulin toimistolle ja huomasin Saulin muuttuneen nalleksi. ![]()
Tosin hetken päästä hän ilmestyi paikalle fyysisesti omana itsenään, eli ihmisen kokoinen nalle on joku muu analyytikko.
Tässä kirjoituksessaan Hannu Angervuo on käynyt läpi tiiviisti läpi kolme ruotsalaisyhtiötä, eli Spotifyn, Oatlyn ja Klarnan. ![]()
Alaotsikot:
- Oatly markkinoitu hyvin sijoittajille
- Klarna hinnoitellaan alle listautumishinnan





